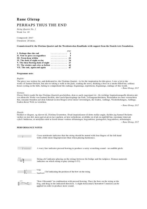
String Quartet No.2 - Perhaps Thus The End
inkl. MwSt., zzgl. Versand
Lieferzeit 2-4 Wochen
Rune Glerup
String Quartet No.2 - Perhaps Thus The End

Rune Glerup
String Quartet No.2 - Perhaps Thus The End

Lieferzeit 2-4 Wochen
inkl. MwSt., zzgl. Versand
Voraussichtliche Lieferung zwischen 20.04.2026 und 04.05.2026.
  • Kreditkarte
  • Rechnung Rechnung
  • PayPal
  • Sepa

Nicht in allen Ländern verfügbar. Mehr erfahren

Beschreibung:

  • Seiten: 56
  • Erschienen: 01.04.2020
  • ISBN: 9788759842881
  • ISMN: 9790661345961
As premiered by the virtuoso French string quartet Quatour Diotima in Copenhagen in October 2018. As premiered by the virtuoso French string quartet Quatour Diotima in Copenhagen in October 2018.